🗓️ วันสอบ : วันเสาร์ที่ 24 มกราคม 2569
⏰ เวลาสอบ : 09.00 – 16.00 น. (บางคนสอบช่วงเช้า 09.00 – 12.00 น. และบางคนสอบช่วงบ่าย 13.00 – 16.00 น.)
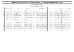
📝 ตรวจสอบรายชื่อ/เวลาเข้าสอบ : https://drive.google.com/file/d/1vZcRcw_gKWo9IWUXLg4Bm7A7wFasyj_E/view?usp=sharing
🏫 สถานที่สอบ : ศูนย์พาณิชยการพระนคร
📢 ประกาศผลสอบ : วันจันทร์ที่ 20 กุมภาพันธ์ 2569
📚 อุปกรณ์ที่ใช้ในการสอบ
– ปากกา, ดินสอ
– บัตรประจำตัวนักเรียน, บัตรประจำตัวประชาชน หรือบัตรที่หน่วยงานราชการออกให้
☞ แนวปฏิบัติการสอบ : มาพร้อม ณ สถานที่สอบก่อนเวลา 1 ชั่วโมง

